RXS0603+42-S IR detection object #5409

Color images and BPZ results
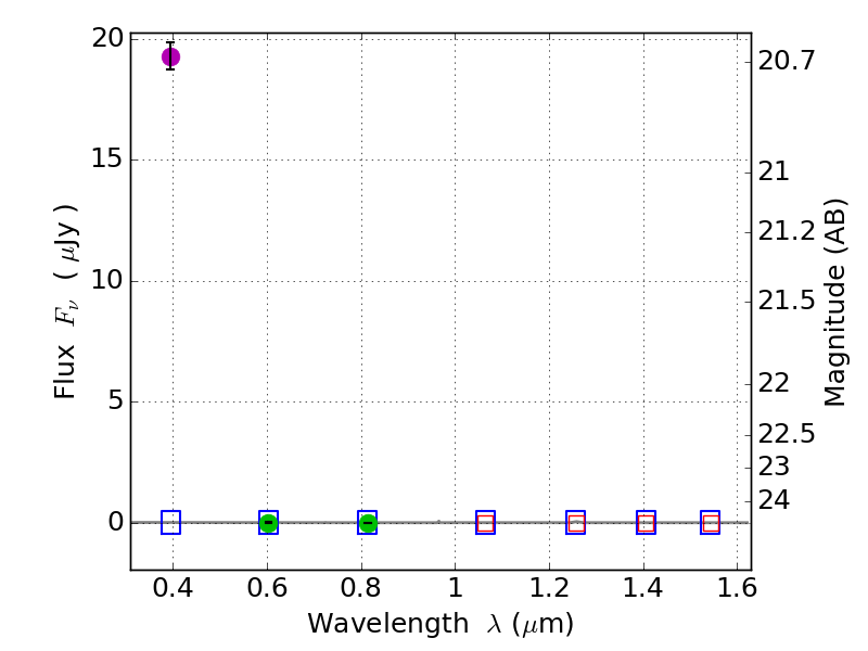
Catalog: 5409.cat
Black segments are analyzed here.   Roll mouse over color images to view segments.
Best viewed in a wide browser window (1200 pixels or more).   Download SED & P(z) plots to view larger versions.
In P(z) plots: Yellow lines mark the cluster redshift z = 0.228,  

Object #5409   x,y = (3780, 1881)   RA, Dec = (06:03:19.512, 42:09:19.08) = (90.83130, 42.15530)   BPZ = 1.593 [0.343--8.430]   type = 11.00 (SB11_A_0_l)   stellarity = 1.00   chisq2 = 1149.00   ODDS = 0.07   z_cluster = 0.228