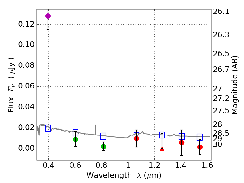
RXS0603+42-S IR detection object #5259

Color images and BPZ results
Catalog: 5259.cat
Black segments are analyzed here.   Roll mouse over color images to view segments.
Best viewed in a wide browser window (1200 pixels or more).   Download SED & P(z) plots to view larger versions.
In P(z) plots: Yellow lines mark the cluster redshift z = 0.228,  

Object #5259   x,y = (2297, 1954)   RA, Dec = (06:03:27.504, 42:09:23.40) = (90.86460, 42.15650)   BPZ = 1.702 [0.775--2.480]   type = 11.00 (SB11_A_0_l)   stellarity = 0.51   chisq2 = 18.33   ODDS = 0.34   z_cluster = 0.228