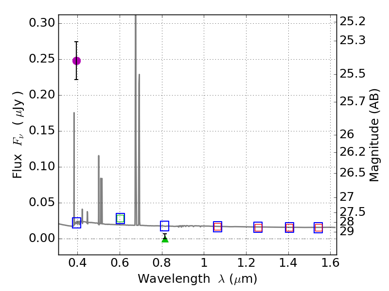
RXS0603+42-S IR detection object #5212

Color images and BPZ results
Catalog: 5212.cat
Black segments are analyzed here.   Roll mouse over color images to view segments.
Best viewed in a wide browser window (1200 pixels or more).   Download SED & P(z) plots to view larger versions.
In P(z) plots: Yellow lines mark the cluster redshift z = 0.228,  

Object #5212   x,y = (824, 1980)   RA, Dec = (06:03:35.448, 42:09:25.20) = (90.89770, 42.15700)   BPZ = 0.032 [0.020--0.841]   type = 11.00 (SB11_A_0_l)   stellarity = 0.97   chisq2 = 79.06   ODDS = 0.17   z_cluster = 0.228