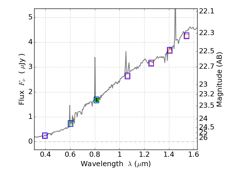
RXS0603+42-S IR detection object #515

Color images and BPZ results
Catalog: 515.cat
Black segments are analyzed here.   Roll mouse over color images to view segments.
Best viewed in a wide browser window (1200 pixels or more).   Download SED & P(z) plots to view larger versions.
In P(z) plots: Yellow lines mark the cluster redshift z = 0.228,  

Object #515   x,y = (2968, 4109)   RA, Dec = (06:03:23.880, 42:11:33.00) = (90.84950, 42.19250)   BPZ = 0.602 [0.138--2.837]   type = 6.60 (Scd_B10 - Sbc_B10)   stellarity = 0.09   chisq2 = 990.00   ODDS = 0.12   z_cluster = 0.228