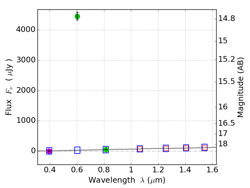
RXS0603+42-S IR detection object #5146

Color images and BPZ results
Catalog: 5146.cat
Black segments are analyzed here.   Roll mouse over color images to view segments.
Best viewed in a wide browser window (1200 pixels or more).   Download SED & P(z) plots to view larger versions.
In P(z) plots: Yellow lines mark the cluster redshift z = 0.228,  

Object #5146   x,y = (1622, 1941)   RA, Dec = (06:03:31.152, 42:09:22.68) = (90.87980, 42.15630)   BPZ = 0.223 [0.082--0.655]   type = 5.90 (Sbc_B10 - ES0_B10)   stellarity = 1.00   chisq2 = 1131.00   ODDS = 0.27   z_cluster = 0.228