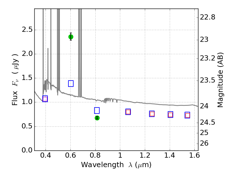
RXS0603+42-S IR detection object #510

Color images and BPZ results
Catalog: 510.cat
Black segments are analyzed here.   Roll mouse over color images to view segments.
Best viewed in a wide browser window (1200 pixels or more).   Download SED & P(z) plots to view larger versions.
In P(z) plots: Yellow lines mark the cluster redshift z = 0.228,  

Object #510   x,y = (2988, 4083)   RA, Dec = (06:03:23.784, 42:11:31.20) = (90.84910, 42.19200)   BPZ = 0.016 [0.010--0.031]   type = 11.00 (SB11_A_0_l)   stellarity = 0.03   chisq2 = 68.22   ODDS = 1.00   z_cluster = 0.228