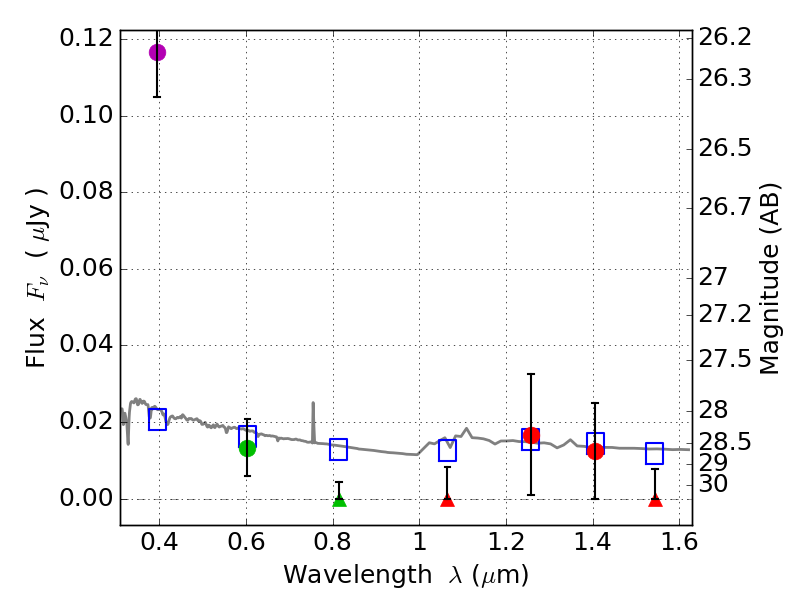
RXS0603+42-S IR detection object #5083

Color images and BPZ results
Catalog: 5083.cat
Black segments are analyzed here.   Roll mouse over color images to view segments.
Best viewed in a wide browser window (1200 pixels or more).   Download SED & P(z) plots to view larger versions.
In P(z) plots: Yellow lines mark the cluster redshift z = 0.228,  

Object #5083   x,y = (2351, 2041)   RA, Dec = (06:03:27.216, 42:09:28.80) = (90.86340, 42.15800)   BPZ = 1.696 [1.015--2.361]   type = 11.00 (SB11_A_0_l)   stellarity = 0.49   chisq2 = 19.23   ODDS = 0.40   z_cluster = 0.228