RXS0603+42-S IR detection object #5053

Color images and BPZ results
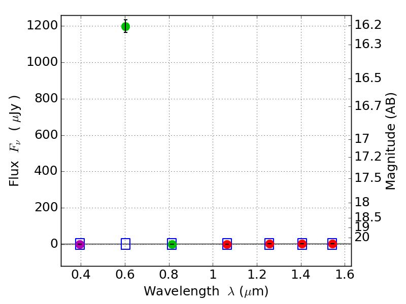
Catalog: 5053.cat
Black segments are analyzed here.   Roll mouse over color images to view segments.
Best viewed in a wide browser window (1200 pixels or more).   Download SED & P(z) plots to view larger versions.
In P(z) plots: Yellow lines mark the cluster redshift z = 0.228,  

Object #5053   x,y = (1652, 2017)   RA, Dec = (06:03:30.984, 42:09:27.36) = (90.87910, 42.15760)   BPZ = 2.425 [2.359--2.485]   type = 8.70 (SB2_B10 - SB1_B10)   stellarity = 1.00   chisq2 = 287.80   ODDS = 0.99   z_cluster = 0.228