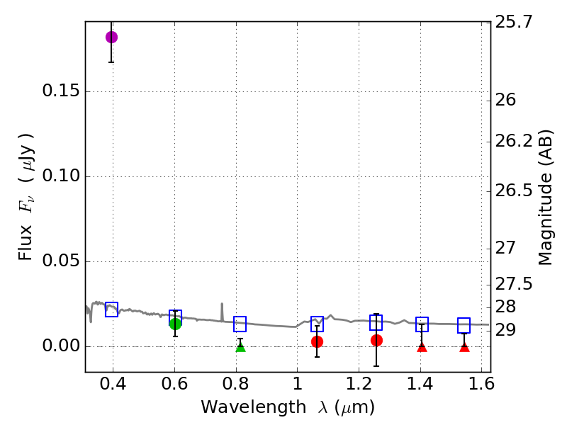
RXS0603+42-S IR detection object #4977

Color images and BPZ results
Catalog: 4977.cat
Black segments are analyzed here.   Roll mouse over color images to view segments.
Best viewed in a wide browser window (1200 pixels or more).   Download SED & P(z) plots to view larger versions.
In P(z) plots: Yellow lines mark the cluster redshift z = 0.228,  

Object #4977   x,y = (2096, 2104)   RA, Dec = (06:03:28.608, 42:09:32.40) = (90.86920, 42.15900)   BPZ = 1.700 [1.001--2.370]   type = 11.00 (SB11_A_0_l)   stellarity = 0.47   chisq2 = 31.67   ODDS = 0.40   z_cluster = 0.228