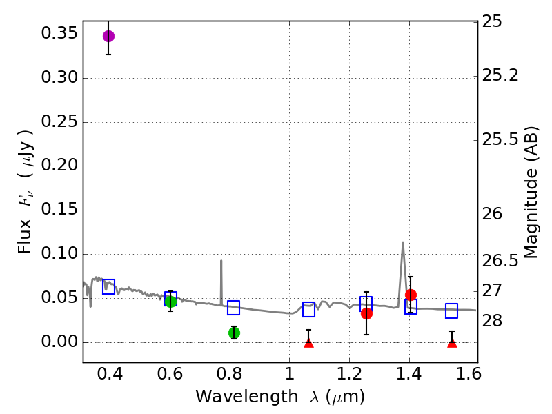
RXS0603+42-S IR detection object #4906

Color images and BPZ results
Catalog: 4906.cat
Black segments are analyzed here.   Roll mouse over color images to view segments.
Best viewed in a wide browser window (1200 pixels or more).   Download SED & P(z) plots to view larger versions.
In P(z) plots: Yellow lines mark the cluster redshift z = 0.228,  

Object #4906   x,y = (2051, 2131)   RA, Dec = (06:03:28.848, 42:09:34.20) = (90.87020, 42.15950)   BPZ = 1.760 [1.538--2.065]   type = 11.00 (SB11_A_0_l)   stellarity = 0.70   chisq2 = 49.22   ODDS = 0.63   z_cluster = 0.228