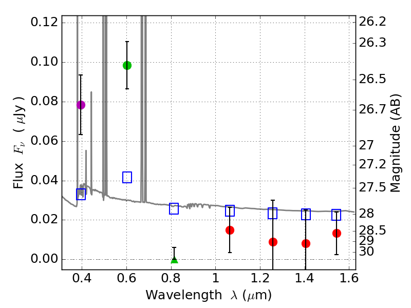
RXS0603+42-S IR detection object #4862

Color images and BPZ results
Catalog: 4862.cat
Black segments are analyzed here.   Roll mouse over color images to view segments.
Best viewed in a wide browser window (1200 pixels or more).   Download SED & P(z) plots to view larger versions.
In P(z) plots: Yellow lines mark the cluster redshift z = 0.228,  

Object #4862   x,y = (1686, 2152)   RA, Dec = (06:03:30.816, 42:09:35.28) = (90.87840, 42.15980)   BPZ = 0.025 [0.019--2.555]   type = 11.00 (SB11_A_0_l)   stellarity = 0.43   chisq2 = 11.88   ODDS = 0.11   z_cluster = 0.228