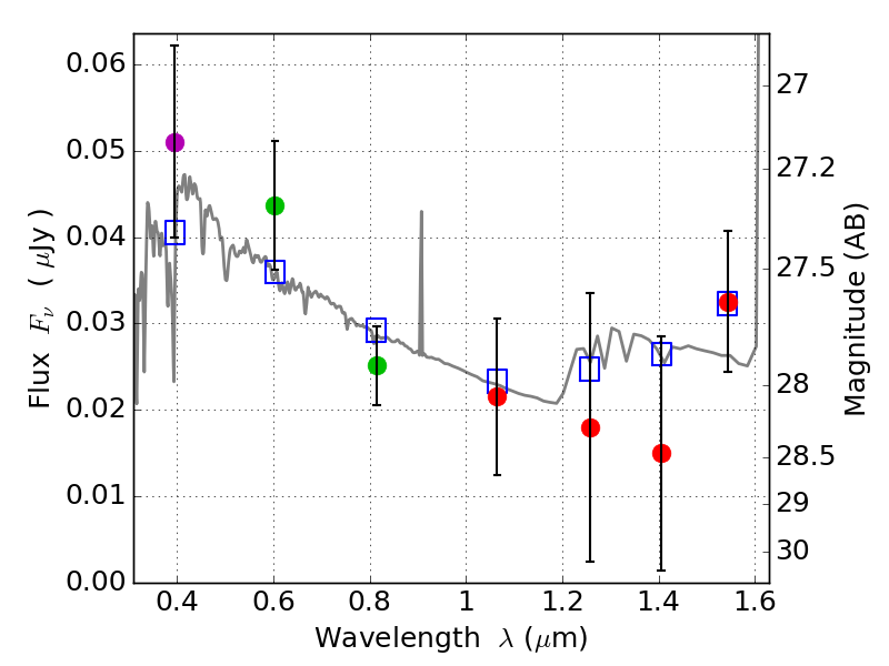
RXS0603+42-S IR detection object #4853

Color images and BPZ results
Catalog: 4853.cat
Black segments are analyzed here.   Roll mouse over color images to view segments.
Best viewed in a wide browser window (1200 pixels or more).   Download SED & P(z) plots to view larger versions.
In P(z) plots: Yellow lines mark the cluster redshift z = 0.228,  

Object #4853   x,y = (3216, 2143)   RA, Dec = (06:03:22.560, 42:09:34.92) = (90.84400, 42.15970)   BPZ = 2.241 [1.161--2.744]   type = 11.00 (SB11_A_0_l)   stellarity = 0.36   chisq2 = 0.82   ODDS = 0.25   z_cluster = 0.228