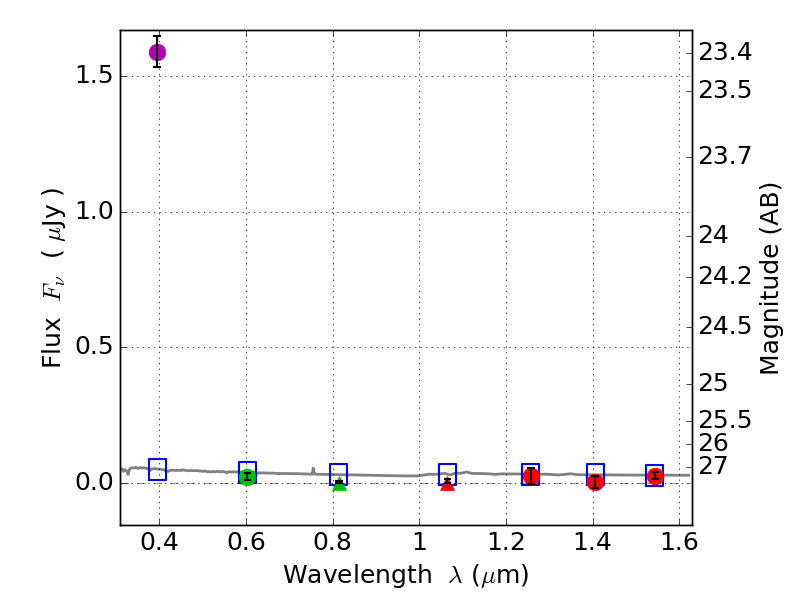
RXS0603+42-S IR detection object #4825

Color images and BPZ results
Catalog: 4825.cat
Black segments are analyzed here.   Roll mouse over color images to view segments.
Best viewed in a wide browser window (1200 pixels or more).   Download SED & P(z) plots to view larger versions.
In P(z) plots: Yellow lines mark the cluster redshift z = 0.228,  

Object #4825   x,y = (3027, 2526)   RA, Dec = (06:03:23.568, 42:09:57.96) = (90.84820, 42.16610)   BPZ = 1.699 [1.297--2.251]   type = 11.00 (SB11_A_0_l)   stellarity = 0.93   chisq2 = 182.70   ODDS = 0.39   z_cluster = 0.228