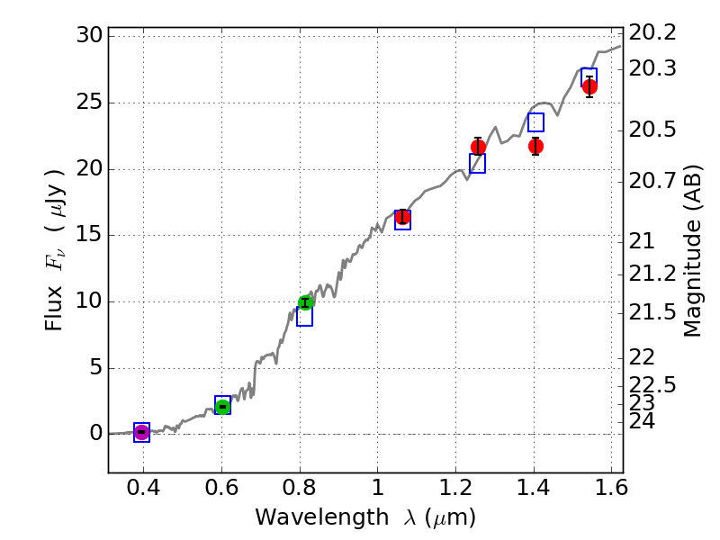
RXS0603+42-S IR detection object #4748

Color images and BPZ results
Catalog: 4748.cat
Black segments are analyzed here.   Roll mouse over color images to view segments.
Best viewed in a wide browser window (1200 pixels or more).   Download SED & P(z) plots to view larger versions.
In P(z) plots: Yellow lines mark the cluster redshift z = 0.228,  

Object #4748   x,y = (2847, 2147)   RA, Dec = (06:03:24.552, 42:09:35.28) = (90.85230, 42.15980)   BPZ = 0.717 [0.675--0.747]   type = 4.00 (Ell4_A_0)   stellarity = 0.97   chisq2 = 0.45   ODDS = 1.00   z_cluster = 0.228