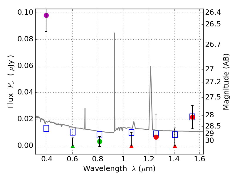
RXS0603+42-S IR detection object #4663

Color images and BPZ results
Catalog: 4663.cat
Black segments are analyzed here.   Roll mouse over color images to view segments.
Best viewed in a wide browser window (1200 pixels or more).   Download SED & P(z) plots to view larger versions.
In P(z) plots: Yellow lines mark the cluster redshift z = 0.228,  

Object #4663   x,y = (1816, 2258)   RA, Dec = (06:03:30.096, 42:09:41.76) = (90.87540, 42.16160)   BPZ = 1.498 [0.684--2.911]   type = 11.00 (SB11_A_0_l)   stellarity = 0.68   chisq2 = 13.57   ODDS = 0.18   z_cluster = 0.228