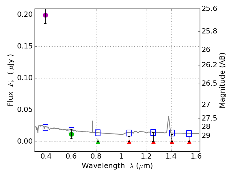
RXS0603+42-S IR detection object #4639

Color images and BPZ results
Catalog: 4639.cat
Black segments are analyzed here.   Roll mouse over color images to view segments.
Best viewed in a wide browser window (1200 pixels or more).   Download SED & P(z) plots to view larger versions.
In P(z) plots: Yellow lines mark the cluster redshift z = 0.228,  

Object #4639   x,y = (3017, 2268)   RA, Dec = (06:03:23.640, 42:09:42.48) = (90.84850, 42.16180)   BPZ = 1.763 [1.297--2.249]   type = 11.00 (SB11_A_0_l)   stellarity = 0.65   chisq2 = 48.17   ODDS = 0.45   z_cluster = 0.228