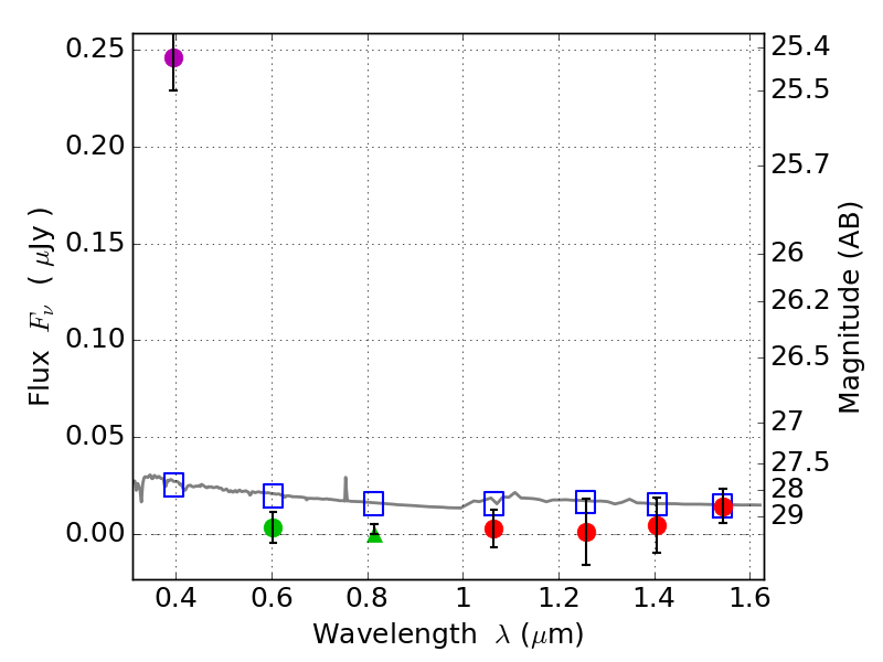
RXS0603+42-S IR detection object #4560

Color images and BPZ results
Catalog: 4560.cat
Black segments are analyzed here.   Roll mouse over color images to view segments.
Best viewed in a wide browser window (1200 pixels or more).   Download SED & P(z) plots to view larger versions.
In P(z) plots: Yellow lines mark the cluster redshift z = 0.228,  

Object #4560   x,y = (3543, 2321)   RA, Dec = (06:03:20.784, 42:09:45.72) = (90.83660, 42.16270)   BPZ = 1.700 [1.143--2.293]   type = 11.00 (SB11_A_0_l)   stellarity = 0.64   chisq2 = 45.13   ODDS = 0.34   z_cluster = 0.228