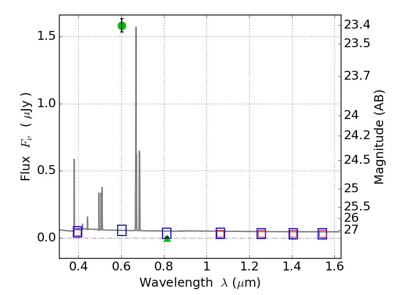
RXS0603+42-S IR detection object #456

Color images and BPZ results
Catalog: 456.cat
Black segments are analyzed here.   Roll mouse over color images to view segments.
Best viewed in a wide browser window (1200 pixels or more).   Download SED & P(z) plots to view larger versions.
In P(z) plots: Yellow lines mark the cluster redshift z = 0.228,  

Object #456   x,y = (2818, 4135)   RA, Dec = (06:03:24.696, 42:11:34.44) = (90.85290, 42.19290)   BPZ = 0.022 [0.010--2.322]   type = 11.00 (SB11_A_0_l)   stellarity = 0.91   chisq2 = 992.10   ODDS = 0.83   z_cluster = 0.228