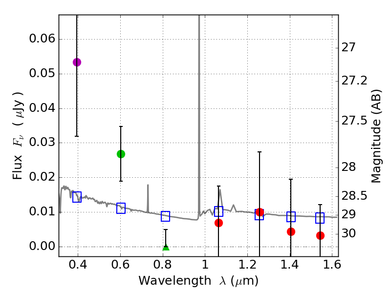
RXS0603+42-S IR detection object #4474

Color images and BPZ results
Catalog: 4474.cat
Black segments are analyzed here.   Roll mouse over color images to view segments.
Best viewed in a wide browser window (1200 pixels or more).   Download SED & P(z) plots to view larger versions.
In P(z) plots: Yellow lines mark the cluster redshift z = 0.228,  

Object #4474   x,y = (3576, 2357)   RA, Dec = (06:03:20.616, 42:09:47.88) = (90.83590, 42.16330)   BPZ = 1.610 [0.235--4.344]   type = 11.00 (SB11_A_0_l)   stellarity = 0.05   chisq2 = 2.67   ODDS = 0.10   z_cluster = 0.228