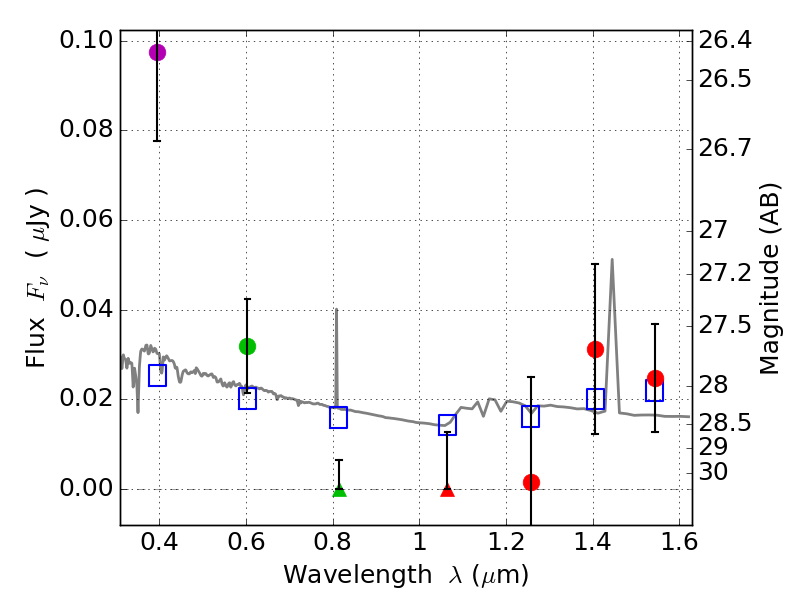
RXS0603+42-S IR detection object #4464

Color images and BPZ results
Catalog: 4464.cat
Black segments are analyzed here.   Roll mouse over color images to view segments.
Best viewed in a wide browser window (1200 pixels or more).   Download SED & P(z) plots to view larger versions.
In P(z) plots: Yellow lines mark the cluster redshift z = 0.228,  

Object #4464   x,y = (3589, 2362)   RA, Dec = (06:03:20.544, 42:09:47.88) = (90.83560, 42.16330)   BPZ = 1.886 [0.577--2.892]   type = 11.00 (SB11_A_0_l)   stellarity = 0.04   chisq2 = 5.46   ODDS = 0.19   z_cluster = 0.228