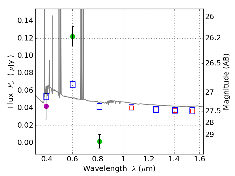
RXS0603+42-S IR detection object #445

Color images and BPZ results
Catalog: 445.cat
Black segments are analyzed here.   Roll mouse over color images to view segments.
Best viewed in a wide browser window (1200 pixels or more).   Download SED & P(z) plots to view larger versions.
In P(z) plots: Yellow lines mark the cluster redshift z = 0.228,  

Object #445   x,y = (2191, 4132)   RA, Dec = (06:03:28.080, 42:11:34.08) = (90.86700, 42.19280)   BPZ = 0.024 [0.011--2.803]   type = 11.00 (SB11_A_0_l)   stellarity = 0.06   chisq2 = 41.76   ODDS = 0.73   z_cluster = 0.228