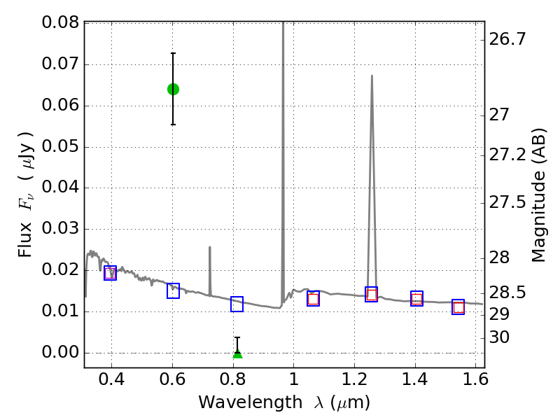
RXS0603+42-S IR detection object #4374

Color images and BPZ results
Catalog: 4374.cat
Black segments are analyzed here.   Roll mouse over color images to view segments.
Best viewed in a wide browser window (1200 pixels or more).   Download SED & P(z) plots to view larger versions.
In P(z) plots: Yellow lines mark the cluster redshift z = 0.228,  

Object #4374   x,y = (4069, 2403)   RA, Dec = (06:03:17.952, 42:09:50.40) = (90.82480, 42.16400)   BPZ = 1.595 [0.132--3.435]   type = 11.00 (SB11_A_0_l)   stellarity = 0.87   chisq2 = 39.97   ODDS = 0.13   z_cluster = 0.228