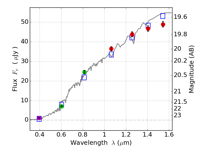
RXS0603+42-S IR detection object #4352

Color images and BPZ results
Catalog: 4352.cat
Black segments are analyzed here.   Roll mouse over color images to view segments.
Best viewed in a wide browser window (1200 pixels or more).   Download SED & P(z) plots to view larger versions.
In P(z) plots: Yellow lines mark the cluster redshift z = 0.228,  

Object #4352   x,y = (2725, 2399)   RA, Dec = (06:03:25.200, 42:09:50.40) = (90.85500, 42.16400)   BPZ = 0.495 [0.426--0.520]   type = 4.00 (Ell4_A_0)   stellarity = 0.99   chisq2 = 0.71   ODDS = 0.97   z_cluster = 0.228