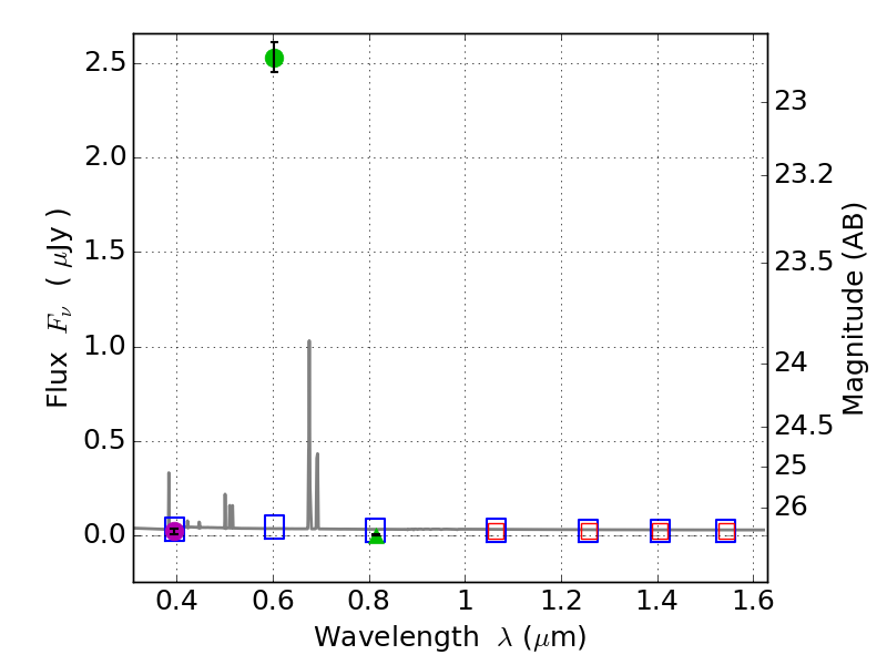
RXS0603+42-S IR detection object #4298

Color images and BPZ results
Catalog: 4298.cat
Black segments are analyzed here.   Roll mouse over color images to view segments.
Best viewed in a wide browser window (1200 pixels or more).   Download SED & P(z) plots to view larger versions.
In P(z) plots: Yellow lines mark the cluster redshift z = 0.228,  

Object #4298   x,y = (1164, 2429)   RA, Dec = (06:03:33.624, 42:09:52.20) = (90.89010, 42.16450)   BPZ = 0.027 [0.015--2.804]   type = 11.00 (SB11_A_0_l)   stellarity = 0.69   chisq2 = 1066.00   ODDS = 0.24   z_cluster = 0.228