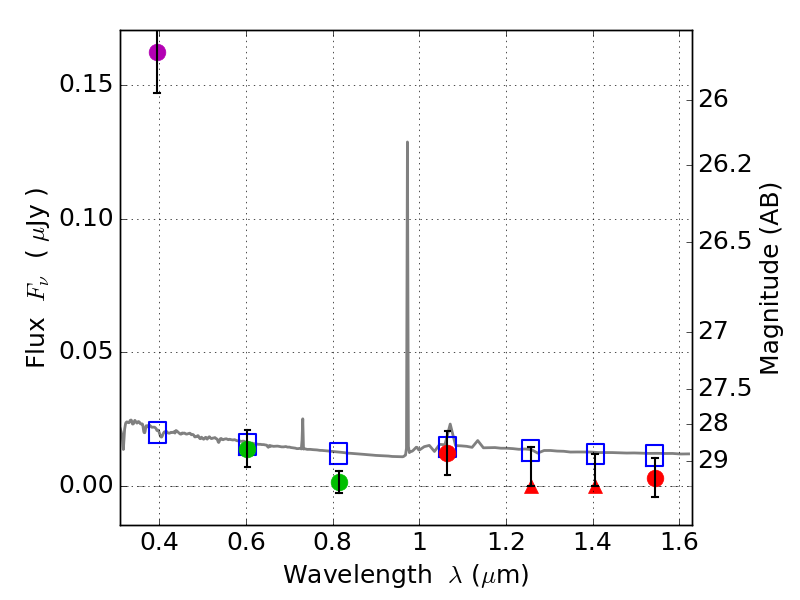
RXS0603+42-S IR detection object #4294

Color images and BPZ results
Catalog: 4294.cat
Black segments are analyzed here.   Roll mouse over color images to view segments.
Best viewed in a wide browser window (1200 pixels or more).   Download SED & P(z) plots to view larger versions.
In P(z) plots: Yellow lines mark the cluster redshift z = 0.228,  

Object #4294   x,y = (3312, 2434)   RA, Dec = (06:03:22.032, 42:09:52.20) = (90.84180, 42.16450)   BPZ = 1.612 [0.817--2.489]   type = 11.00 (SB11_A_0_l)   stellarity = 0.65   chisq2 = 23.01   ODDS = 0.28   z_cluster = 0.228