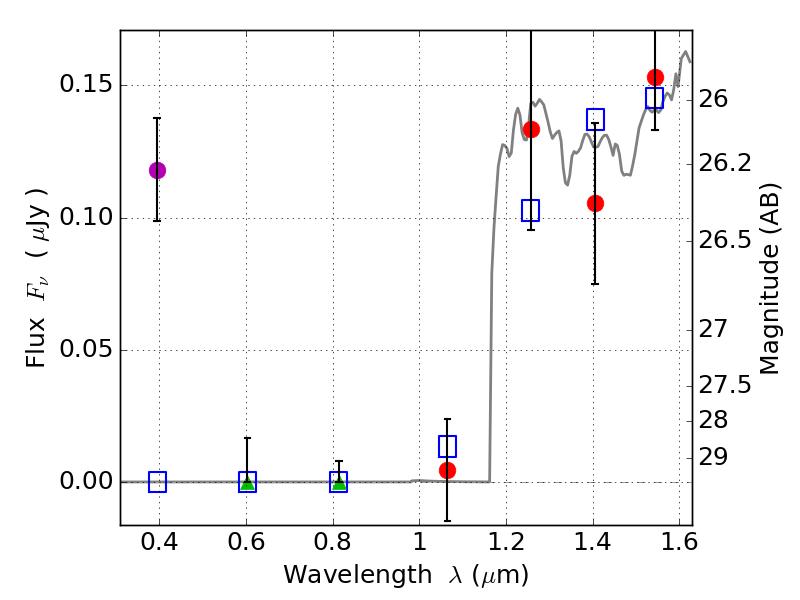
RXS0603+42-S IR detection object #4292

Color images and BPZ results
Catalog: 4292.cat
Black segments are analyzed here.   Roll mouse over color images to view segments.
Best viewed in a wide browser window (1200 pixels or more).   Download SED & P(z) plots to view larger versions.
In P(z) plots: Yellow lines mark the cluster redshift z = 0.228,  

Object #4292   x,y = (3657, 2430)   RA, Dec = (06:03:20.184, 42:09:52.20) = (90.83410, 42.16450)   BPZ = 8.566 [1.792--9.687]   type = 8.00 (SB1_B10)   stellarity = 0.05   chisq2 = 7.92   ODDS = 0.51   z_cluster = 0.228