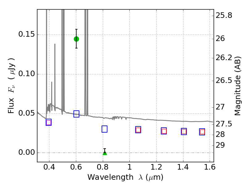
RXS0603+42-S IR detection object #429

Color images and BPZ results
Catalog: 429.cat
Black segments are analyzed here.   Roll mouse over color images to view segments.
Best viewed in a wide browser window (1200 pixels or more).   Download SED & P(z) plots to view larger versions.
In P(z) plots: Yellow lines mark the cluster redshift z = 0.228,  

Object #429   x,y = (2525, 4162)   RA, Dec = (06:03:26.280, 42:11:35.88) = (90.85950, 42.19330)   BPZ = 0.023 [0.010--2.682]   type = 11.00 (SB11_A_0_l)   stellarity = 0.66   chisq2 = 82.76   ODDS = 0.75   z_cluster = 0.228