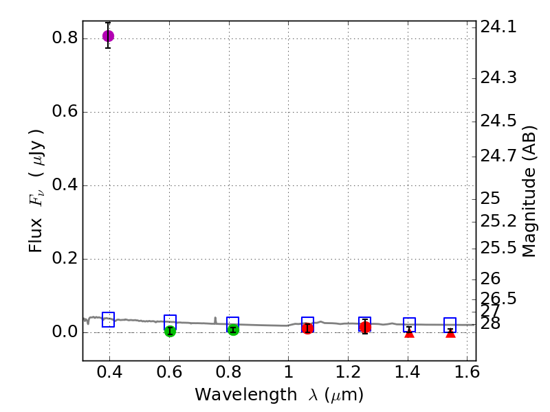
RXS0603+42-S IR detection object #4280

Color images and BPZ results
Catalog: 4280.cat
Black segments are analyzed here.   Roll mouse over color images to view segments.
Best viewed in a wide browser window (1200 pixels or more).   Download SED & P(z) plots to view larger versions.
In P(z) plots: Yellow lines mark the cluster redshift z = 0.228,  

Object #4280   x,y = (3239, 2438)   RA, Dec = (06:03:22.440, 42:09:52.56) = (90.84350, 42.16460)   BPZ = 1.701 [1.076--2.185]   type = 11.00 (SB11_A_0_l)   stellarity = 0.64   chisq2 = 132.90   ODDS = 0.52   z_cluster = 0.228