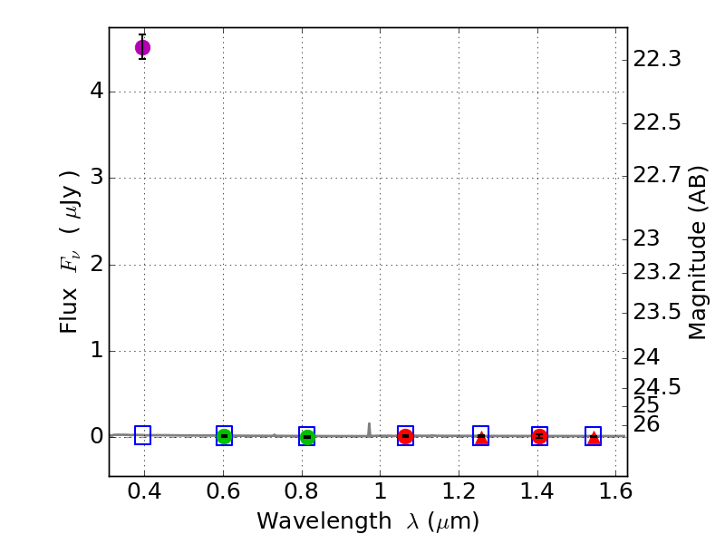
RXS0603+42-S IR detection object #4260

Color images and BPZ results
Catalog: 4260.cat
Black segments are analyzed here.   Roll mouse over color images to view segments.
Best viewed in a wide browser window (1200 pixels or more).   Download SED & P(z) plots to view larger versions.
In P(z) plots: Yellow lines mark the cluster redshift z = 0.228,  

Object #4260   x,y = (3286, 2448)   RA, Dec = (06:03:22.176, 42:09:53.28) = (90.84240, 42.16480)   BPZ = 1.612 [0.343--4.377]   type = 11.00 (SB11_A_0_l)   stellarity = 0.75   chisq2 = 269.40   ODDS = 0.15   z_cluster = 0.228