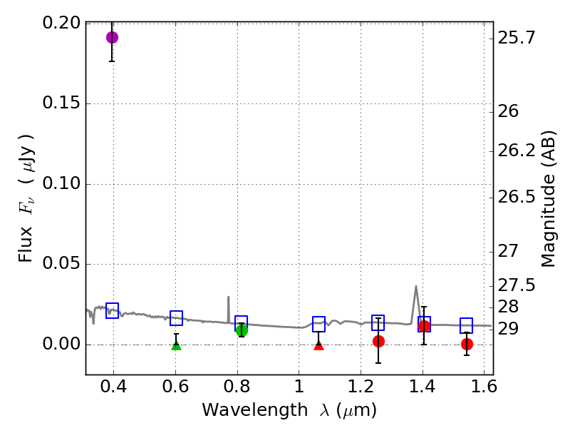
RXS0603+42-S IR detection object #4206

Color images and BPZ results
Catalog: 4206.cat
Black segments are analyzed here.   Roll mouse over color images to view segments.
Best viewed in a wide browser window (1200 pixels or more).   Download SED & P(z) plots to view larger versions.
In P(z) plots: Yellow lines mark the cluster redshift z = 0.228,  

Object #4206   x,y = (3098, 2467)   RA, Dec = (06:03:23.184, 42:09:54.36) = (90.84660, 42.16510)   BPZ = 1.762 [0.769--2.389]   type = 11.00 (SB11_A_0_l)   stellarity = 0.68   chisq2 = 34.35   ODDS = 0.34   z_cluster = 0.228