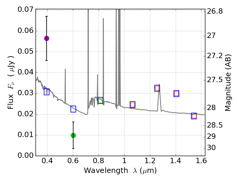
RXS0603+42-S IR detection object #407

Color images and BPZ results
Catalog: 407.cat
Black segments are analyzed here.   Roll mouse over color images to view segments.
Best viewed in a wide browser window (1200 pixels or more).   Download SED & P(z) plots to view larger versions.
In P(z) plots: Yellow lines mark the cluster redshift z = 0.228,  

Object #407   x,y = (1895, 4176)   RA, Dec = (06:03:29.688, 42:11:36.96) = (90.87370, 42.19360)   BPZ = 0.933 [0.574--2.389]   type = 11.00 (SB11_A_0_l)   stellarity = 0.41   chisq2 = 9.07   ODDS = 0.11   z_cluster = 0.228