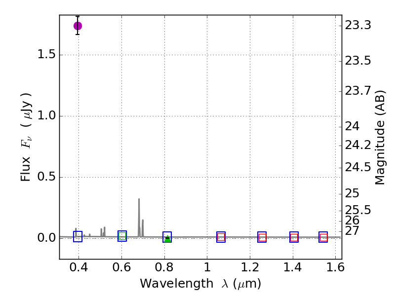
RXS0603+42-S IR detection object #4035

Color images and BPZ results
Catalog: 4035.cat
Black segments are analyzed here.   Roll mouse over color images to view segments.
Best viewed in a wide browser window (1200 pixels or more).   Download SED & P(z) plots to view larger versions.
In P(z) plots: Yellow lines mark the cluster redshift z = 0.228,  

Object #4035   x,y = (1065, 2571)   RA, Dec = (06:03:34.152, 42:10:00.48) = (90.89230, 42.16680)   BPZ = 0.038 [0.027--0.854]   type = 11.00 (SB11_A_0_l)   stellarity = 0.99   chisq2 = 540.20   ODDS = 0.11   z_cluster = 0.228