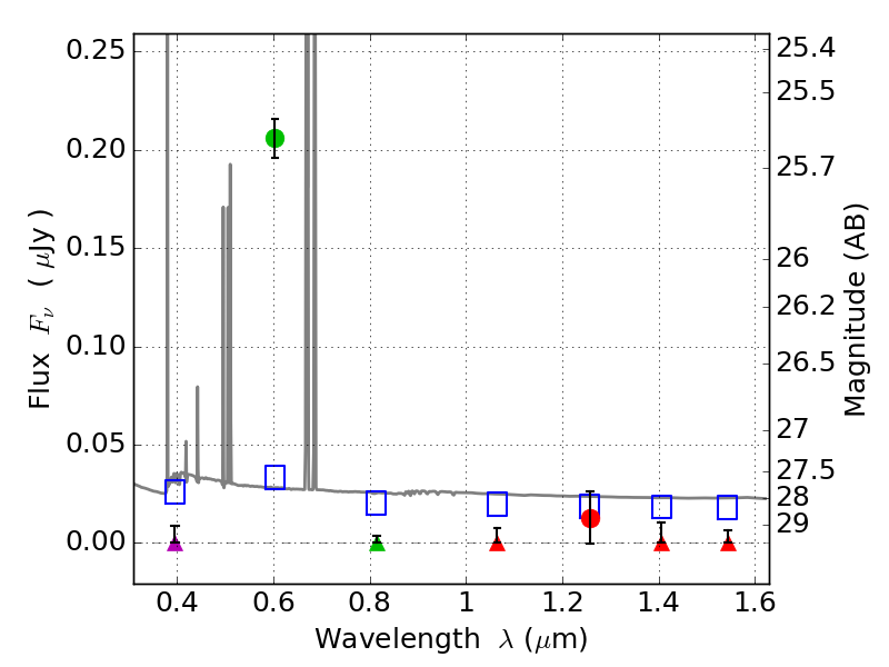
RXS0603+42-S IR detection object #3990

Color images and BPZ results
Catalog: 3990.cat
Black segments are analyzed here.   Roll mouse over color images to view segments.
Best viewed in a wide browser window (1200 pixels or more).   Download SED & P(z) plots to view larger versions.
In P(z) plots: Yellow lines mark the cluster redshift z = 0.228,  

Object #3990   x,y = (3171, 2596)   RA, Dec = (06:03:22.800, 42:10:01.92) = (90.84500, 42.16720)   BPZ = 0.021 [0.010--0.050]   type = 11.00 (SB11_A_0_l)   stellarity = 0.73   chisq2 = 85.59   ODDS = 1.00   z_cluster = 0.228