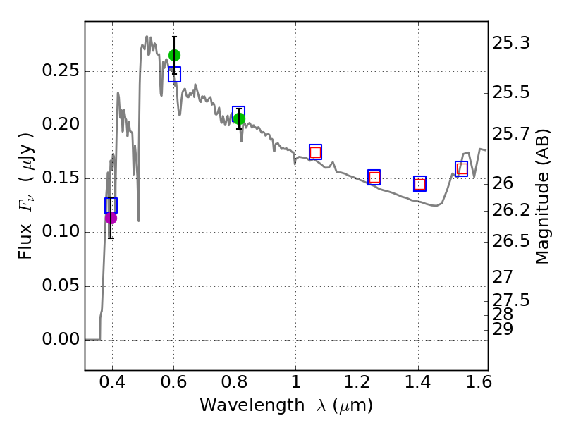
RXS0603+42-S IR detection object #3988

Color images and BPZ results
Catalog: 3988.cat
Black segments are analyzed here.   Roll mouse over color images to view segments.
Best viewed in a wide browser window (1200 pixels or more).   Download SED & P(z) plots to view larger versions.
In P(z) plots: Yellow lines mark the cluster redshift z = 0.228,  

Object #3988   x,y = (1254, 2594)   RA, Dec = (06:03:33.144, 42:10:01.92) = (90.88810, 42.16720)   BPZ = 3.003 [2.790--3.156]   type = 11.00 (SB11_A_0_l)   stellarity = 0.46   chisq2 = 0.81   ODDS = 0.93   z_cluster = 0.228