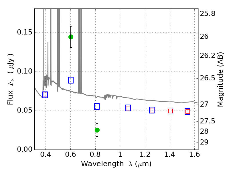
RXS0603+42-S IR detection object #3983

Color images and BPZ results
Catalog: 3983.cat
Black segments are analyzed here.   Roll mouse over color images to view segments.
Best viewed in a wide browser window (1200 pixels or more).   Download SED & P(z) plots to view larger versions.
In P(z) plots: Yellow lines mark the cluster redshift z = 0.228,  

Object #3983   x,y = (4121, 2596)   RA, Dec = (06:03:17.664, 42:10:01.92) = (90.82360, 42.16720)   BPZ = 0.024 [0.011--2.831]   type = 11.00 (SB11_A_0_l)   stellarity = 0.83   chisq2 = 22.88   ODDS = 0.55   z_cluster = 0.228