RXS0603+42-S IR detection object #3946

Color images and BPZ results
Catalog: 3946.cat
Black segments are analyzed here.   Roll mouse over color images to view segments.
Best viewed in a wide browser window (1200 pixels or more).   Download SED & P(z) plots to view larger versions.
In P(z) plots: Yellow lines mark the cluster redshift z = 0.228,  

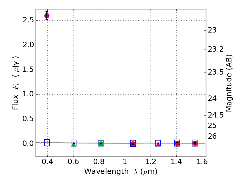
Object #3946   x,y = (2827, 2613)   RA, Dec = (06:03:24.648, 42:10:03.00) = (90.85270, 42.16750)   BPZ = 1.856 [0.550--3.305]   type = 11.00 (SB11_A_0_l)   stellarity = 0.97   chisq2 = 243.80   ODDS = 0.18   z_cluster = 0.228