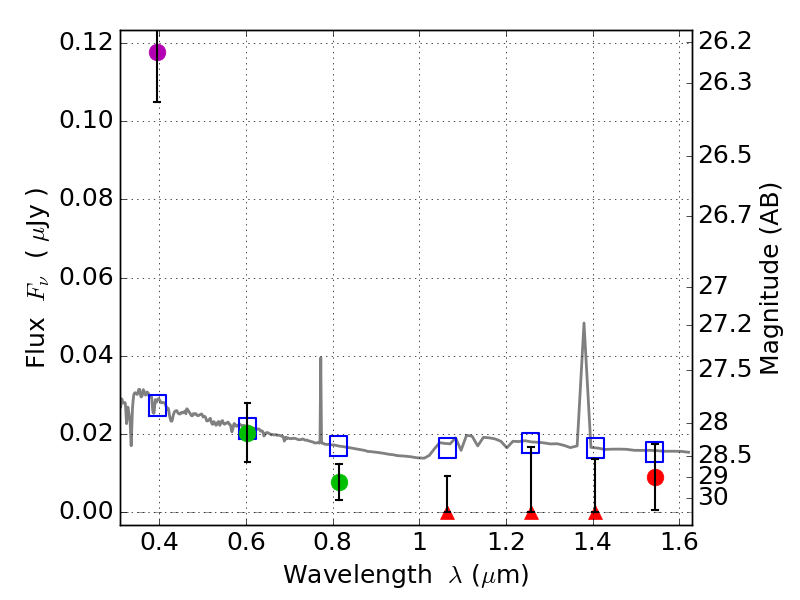
RXS0603+42-S IR detection object #3907

Color images and BPZ results
Catalog: 3907.cat
Black segments are analyzed here.   Roll mouse over color images to view segments.
Best viewed in a wide browser window (1200 pixels or more).   Download SED & P(z) plots to view larger versions.
In P(z) plots: Yellow lines mark the cluster redshift z = 0.228,  

Object #3907   x,y = (3095, 2631)   RA, Dec = (06:03:23.208, 42:10:04.08) = (90.84670, 42.16780)   BPZ = 1.763 [1.140--2.408]   type = 11.00 (SB11_A_0_l)   stellarity = 0.47   chisq2 = 14.27   ODDS = 0.35   z_cluster = 0.228