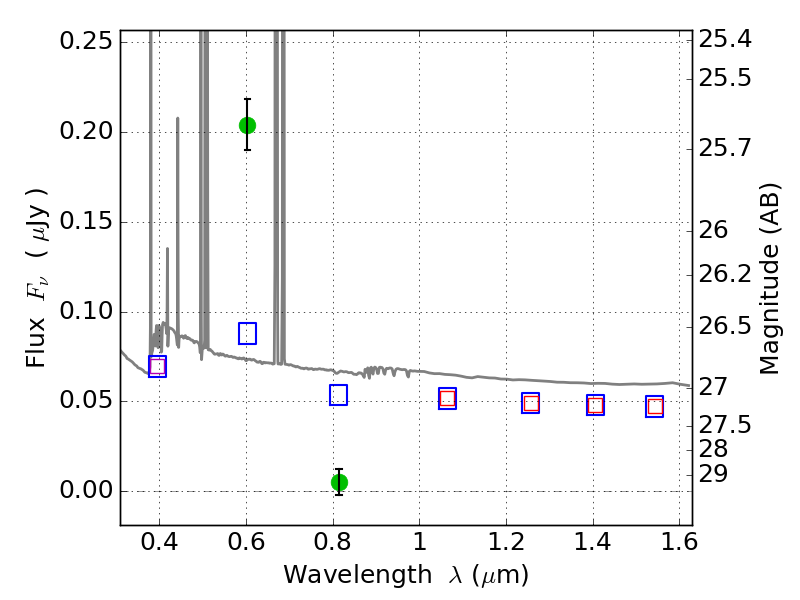
RXS0603+42-S IR detection object #3904

Color images and BPZ results
Catalog: 3904.cat
Black segments are analyzed here.   Roll mouse over color images to view segments.
Best viewed in a wide browser window (1200 pixels or more).   Download SED & P(z) plots to view larger versions.
In P(z) plots: Yellow lines mark the cluster redshift z = 0.228,  

Object #3904   x,y = (4148, 2630)   RA, Dec = (06:03:17.520, 42:10:04.08) = (90.82300, 42.16780)   BPZ = 0.020 [0.010--0.046]   type = 11.00 (SB11_A_0_l)   stellarity = 0.68   chisq2 = 84.85   ODDS = 0.99   z_cluster = 0.228