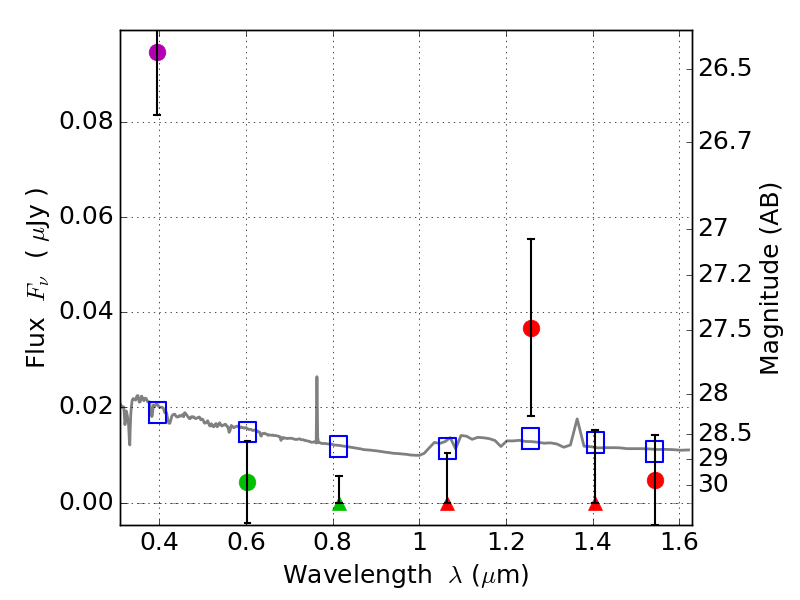
RXS0603+42-S IR detection object #3890

Color images and BPZ results
Catalog: 3890.cat
Black segments are analyzed here.   Roll mouse over color images to view segments.
Best viewed in a wide browser window (1200 pixels or more).   Download SED & P(z) plots to view larger versions.
In P(z) plots: Yellow lines mark the cluster redshift z = 0.228,  

Object #3890   x,y = (2474, 2641)   RA, Dec = (06:03:26.568, 42:10:04.80) = (90.86070, 42.16800)   BPZ = 1.728 [0.540--3.407]   type = 11.00 (SB11_A_0_l)   stellarity = 0.36   chisq2 = 10.22   ODDS = 0.23   z_cluster = 0.228