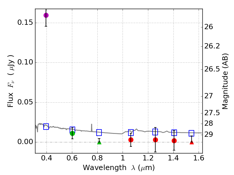
RXS0603+42-S IR detection object #3869

Color images and BPZ results
Catalog: 3869.cat
Black segments are analyzed here.   Roll mouse over color images to view segments.
Best viewed in a wide browser window (1200 pixels or more).   Download SED & P(z) plots to view larger versions.
In P(z) plots: Yellow lines mark the cluster redshift z = 0.228,  

Object #3869   x,y = (3291, 2655)   RA, Dec = (06:03:22.152, 42:10:05.52) = (90.84230, 42.16820)   BPZ = 1.700 [0.870--2.434]   type = 11.00 (SB11_A_0_l)   stellarity = 0.43   chisq2 = 27.54   ODDS = 0.36   z_cluster = 0.228