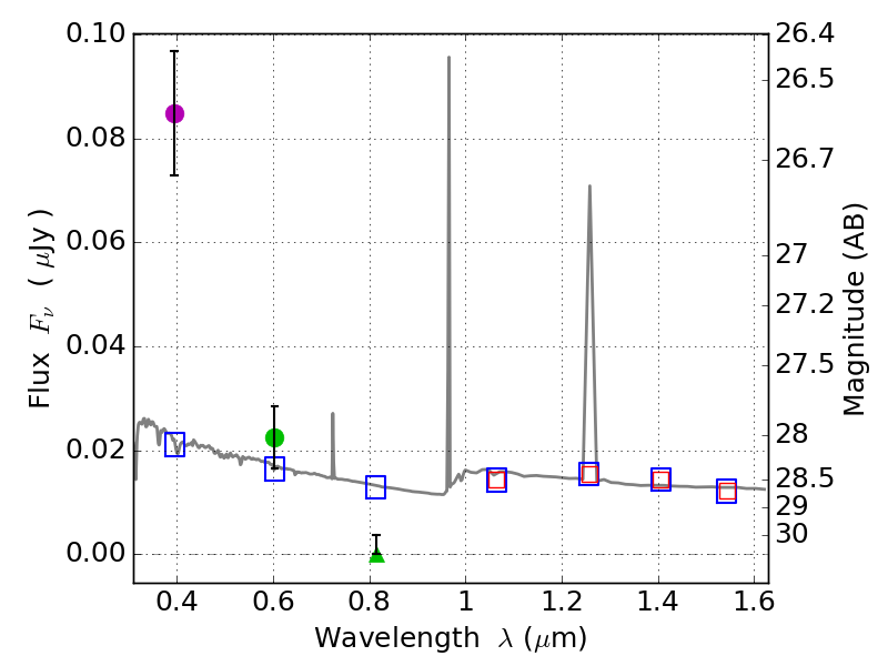
RXS0603+42-S IR detection object #3868

Color images and BPZ results
Catalog: 3868.cat
Black segments are analyzed here.   Roll mouse over color images to view segments.
Best viewed in a wide browser window (1200 pixels or more).   Download SED & P(z) plots to view larger versions.
In P(z) plots: Yellow lines mark the cluster redshift z = 0.228,  

Object #3868   x,y = (3956, 2657)   RA, Dec = (06:03:18.552, 42:10:05.88) = (90.82730, 42.16830)   BPZ = 1.595 [1.128--2.402]   type = 11.00 (SB11_A_0_l)   stellarity = 0.64   chisq2 = 39.74   ODDS = 0.27   z_cluster = 0.228