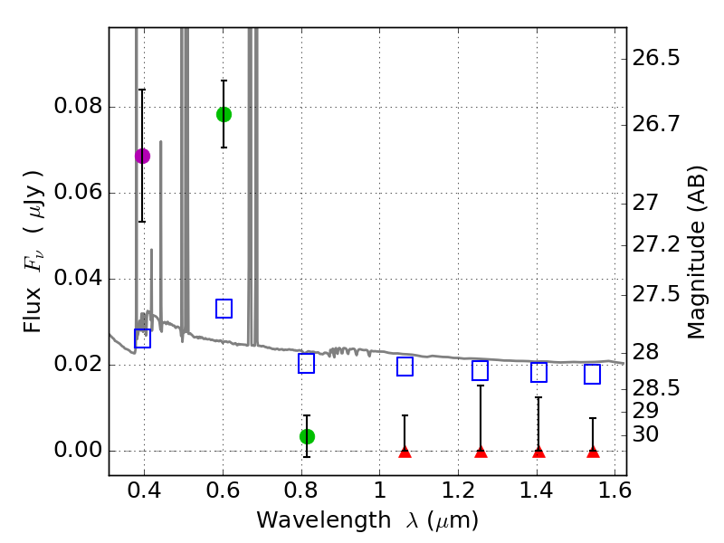
RXS0603+42-S IR detection object #3841

Color images and BPZ results
Catalog: 3841.cat
Black segments are analyzed here.   Roll mouse over color images to view segments.
Best viewed in a wide browser window (1200 pixels or more).   Download SED & P(z) plots to view larger versions.
In P(z) plots: Yellow lines mark the cluster redshift z = 0.228,  

Object #3841   x,y = (2546, 2673)   RA, Dec = (06:03:26.160, 42:10:06.60) = (90.85900, 42.16850)   BPZ = 0.025 [0.012--2.803]   type = 11.00 (SB11_A_0_l)   stellarity = 0.63   chisq2 = 15.51   ODDS = 0.55   z_cluster = 0.228