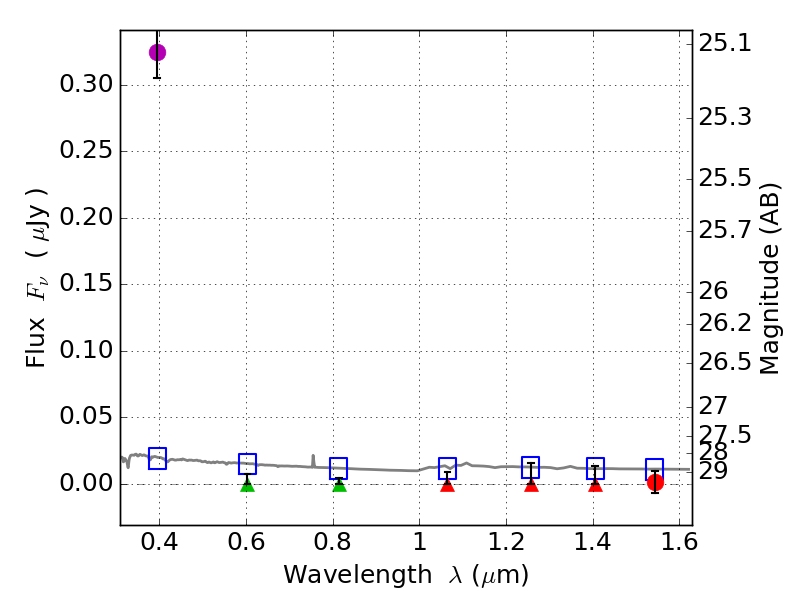
RXS0603+42-S IR detection object #3802

Color images and BPZ results
Catalog: 3802.cat
Black segments are analyzed here.   Roll mouse over color images to view segments.
Best viewed in a wide browser window (1200 pixels or more).   Download SED & P(z) plots to view larger versions.
In P(z) plots: Yellow lines mark the cluster redshift z = 0.228,  

Object #3802   x,y = (2442, 2692)   RA, Dec = (06:03:26.736, 42:10:07.68) = (90.86140, 42.16880)   BPZ = 1.700 [0.808--2.598]   type = 11.00 (SB11_A_0_l)   stellarity = 0.65   chisq2 = 63.13   ODDS = 0.31   z_cluster = 0.228