RXS0603+42-S IR detection object #3792

Color images and BPZ results
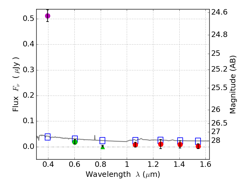
Catalog: 3792.cat
Black segments are analyzed here.   Roll mouse over color images to view segments.
Best viewed in a wide browser window (1200 pixels or more).   Download SED & P(z) plots to view larger versions.
In P(z) plots: Yellow lines mark the cluster redshift z = 0.228,  

Object #3792   x,y = (2384, 2697)   RA, Dec = (06:03:27.048, 42:10:08.04) = (90.86270, 42.16890)   BPZ = 1.700 [1.454--2.102]   type = 11.00 (SB11_A_0_l)   stellarity = 0.74   chisq2 = 105.60   ODDS = 0.60   z_cluster = 0.228