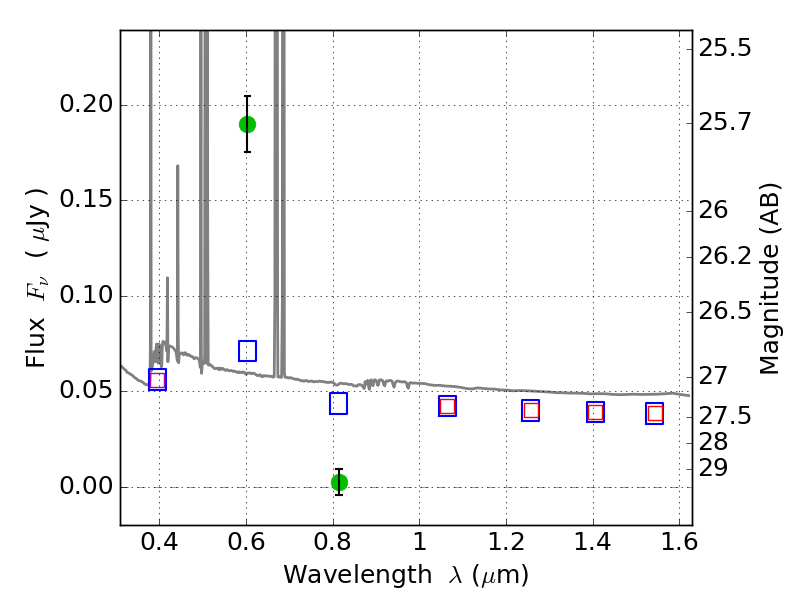
RXS0603+42-S IR detection object #3791

Color images and BPZ results
Catalog: 3791.cat
Black segments are analyzed here.   Roll mouse over color images to view segments.
Best viewed in a wide browser window (1200 pixels or more).   Download SED & P(z) plots to view larger versions.
In P(z) plots: Yellow lines mark the cluster redshift z = 0.228,  

Object #3791   x,y = (4204, 2693)   RA, Dec = (06:03:17.208, 42:10:08.04) = (90.82170, 42.16890)   BPZ = 0.022 [0.010--2.454]   type = 11.00 (SB11_A_0_l)   stellarity = 0.81   chisq2 = 84.09   ODDS = 0.87   z_cluster = 0.228