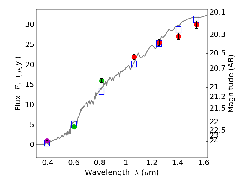
RXS0603+42-S IR detection object #3785

Color images and BPZ results
Catalog: 3785.cat
Black segments are analyzed here.   Roll mouse over color images to view segments.
Best viewed in a wide browser window (1200 pixels or more).   Download SED & P(z) plots to view larger versions.
In P(z) plots: Yellow lines mark the cluster redshift z = 0.228,  

Object #3785   x,y = (2576, 2683)   RA, Dec = (06:03:26.016, 42:10:07.32) = (90.85840, 42.16870)   BPZ = 0.449 [0.358--0.586]   type = 4.00 (Ell4_A_0)   stellarity = 0.99   chisq2 = 0.80   ODDS = 0.75   z_cluster = 0.228