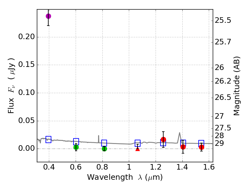
RXS0603+42-S IR detection object #3759

Color images and BPZ results
Catalog: 3759.cat
Black segments are analyzed here.   Roll mouse over color images to view segments.
Best viewed in a wide browser window (1200 pixels or more).   Download SED & P(z) plots to view larger versions.
In P(z) plots: Yellow lines mark the cluster redshift z = 0.228,  

Object #3759   x,y = (2498, 2714)   RA, Dec = (06:03:26.424, 42:10:09.12) = (90.86010, 42.16920)   BPZ = 1.761 [0.765--2.775]   type = 11.00 (SB11_A_0_l)   stellarity = 0.65   chisq2 = 43.82   ODDS = 0.28   z_cluster = 0.228