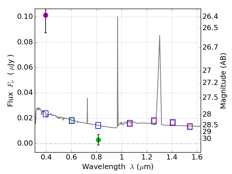
RXS0603+42-S IR detection object #3745

Color images and BPZ results
Catalog: 3745.cat
Black segments are analyzed here.   Roll mouse over color images to view segments.
Best viewed in a wide browser window (1200 pixels or more).   Download SED & P(z) plots to view larger versions.
In P(z) plots: Yellow lines mark the cluster redshift z = 0.228,  

Object #3745   x,y = (1155, 2726)   RA, Dec = (06:03:33.672, 42:10:09.84) = (90.89030, 42.16940)   BPZ = 1.596 [0.740--2.723]   type = 11.00 (SB11_A_0_l)   stellarity = 0.68   chisq2 = 36.22   ODDS = 0.22   z_cluster = 0.228