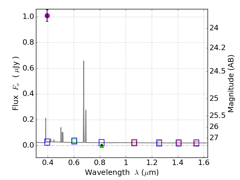
RXS0603+42-S IR detection object #3733

Color images and BPZ results
Catalog: 3733.cat
Black segments are analyzed here.   Roll mouse over color images to view segments.
Best viewed in a wide browser window (1200 pixels or more).   Download SED & P(z) plots to view larger versions.
In P(z) plots: Yellow lines mark the cluster redshift z = 0.228,  

Object #3733   x,y = (1111, 2730)   RA, Dec = (06:03:33.912, 42:10:10.20) = (90.89130, 42.16950)   BPZ = 0.026 [0.012--0.777]   type = 11.00 (SB11_A_0_l)   stellarity = 0.99   chisq2 = 465.30   ODDS = 0.46   z_cluster = 0.228