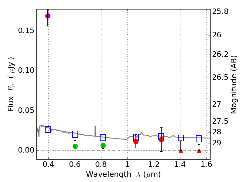
RXS0603+42-S IR detection object #3727

Color images and BPZ results
Catalog: 3727.cat
Black segments are analyzed here.   Roll mouse over color images to view segments.
Best viewed in a wide browser window (1200 pixels or more).   Download SED & P(z) plots to view larger versions.
In P(z) plots: Yellow lines mark the cluster redshift z = 0.228,  

Object #3727   x,y = (1645, 2734)   RA, Dec = (06:03:31.032, 42:10:10.20) = (90.87930, 42.16950)   BPZ = 1.702 [1.102--2.180]   type = 11.00 (SB11_A_0_l)   stellarity = 0.68   chisq2 = 32.63   ODDS = 0.52   z_cluster = 0.228